
Crediti: rawpixels.com/Pexels. Licenza: Pexel License
Secondo uno studio pubblicato su Annals of Oncology, una delle principali riviste scientifiche in ambito oncologico, e supportato dall’Associazione Italiana per la Ricerca sul Cancro (AIRC), nel 2019 i tassi di mortalità per tumore, e in particolare per la mammella, continueranno a diminuire nell’Unione Europea (UE) con l’eccezione di alcuni Paesi dell’Europa centrale, fra i quali la Polonia (Figura 1).
Tumore della mammella
Le predizioni annuali delle morti per tumore nell'Unione europea hanno stimato che nel 2019 i tassi di mortalità per il tumore della mammella in UE diminuiranno del 9% rispetto al 2014. Tuttavia, nonostante i tassi di mortalità siano diminuiti da 14,6 per 100.000 abitanti nel 2014 a 13.4 nel 2019, i numeri assoluti di decessi continuano ad aumentare a causa dell’aumento della popolazione anziana a rischio. Il tumore della mammella rimane la seconda maggiore causa di morte per tumore nelle donne dopo il tumore al polmone. Nel 2014 sono state registrate circa 92.000 morti per tumore alla mammella, mentre per il 2019 ne stimiamo 92.800. Questo significa che l’impatto della malattia in termini di salute pubblica continuerà ad aumentare, con conseguenti implicazioni sui costi della sanità.
I miglioramenti nei tassi di mortalità per il tumore della mammella sono principalmente dovuti ai programmi di screening, alla diagnosi precoce e ai miglioramenti nel trattamento e nella gestione della malattia. Gli andamenti più favorevoli si sono osservati nelle donne tra i 50 e i 69 anni, ossia il gruppo d’età coinvolto nei programmi di screening.
Rispetto al quinquennio 2010-2014, i tassi di mortalità standardizzati per età nelle donne dell’UE tra i 50 e 69 anni sono diminuiti del 16% nel 2019, ma solo del 6% nelle donne 70-79enni. I programmi di screening per il tumore della mammella sono migliorati nell’ultimo decennio. Potrebbe però essere troppo presto per osservarne l’effetto sulla mortalità nella fascia d’età tra i 70 e i 79 anni. Questa è anche la classe di età che potrebbe trarre meno benefici dagli avanzamenti nella terapia e nella gestione della malattia, in quanto la presenza di altre patologie o complicanze ne riduce l’uso nelle donne più anziane. La Polonia e altri paesi Est-Europei non hanno tuttavia mostrato andamenti favorevoli di mortalità per tumore alla mammella, e questo evidenzia le necessità di migliorare la diagnosi e il trattamento della malattia in questi paesi (Figura 1).

Figura 1. Mortalità per tumore alla mammella
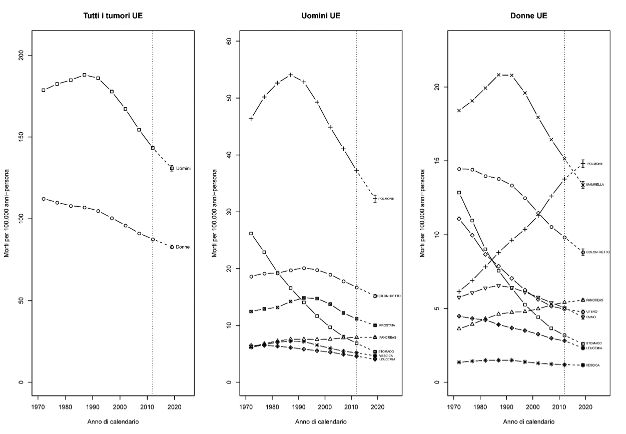
Nello studio sono stati analizzati i decessi per tumore nei 28 stati membri dell’UE complessivamente e anche nei suoi 6 paesi più popolosi – Francia, Germania, Italia, Polonia, Spagna e Regno Unito – per tutti i tumori, e per i siti specifici dello stomaco, colon-retto, pancreas, polmone, mammella, utero (inclusa la cervice), ovaio, prostata, vescica e leucemie in entrambi i sessi (Figura 2).

Figura 2. Mortalità per tumore in UE
Dei 6 paesi considerati, in termini di tassi, il Regno Unito mostra la maggior diminuzione per il tumore della mammella al 2019 (-13%), seguito da Francia (-10%), Germania (-9%), Italia (-7%) e Spagna (-5%), mentre in Polonia è previsto un aumento del 2% (Figura 1). Sono stati stimati 1,4 milioni di morti per tumore nell’UE nel 2019 (787.000 uomini, 621.000 donne); un aumento di circa il 4,8% rispetto ai 1,35 milioni registrati nel 2014. Tuttavia i tassi di mortalità standardizzati sono in diminuzione per gli uomini da 139 per 100.000 persone nel 2014 a 131 nel 2019 (calo del 6%) e per le donne da 86 per 100.000 persone a 83 (calo del 3.6%).
Tumore al polmone
Il cancro al polmone rimane la principale causa di morte per tumore in entrambi i sessi, con 183.200 morti predette negli uomini nel 2019 e 96.800 nelle donne. Negli uomini i tassi diminuiscono da 36 per 100.000 nel 2014 a 32 nel 2019 (calo del 9%). Nelle donne, però, gli andamenti sono ancora sfavorevoli e aumentano da 14.2 per 100.000 nel 2014 a 14.8 nel 2019 (aumento del 4%).
Tumore del pancreas
Tra i dieci siti tumorali in studio, il tumore del pancreas è l’unico a non mostrare andamenti favorevoli sia per le donne sia per gli uomini. Negli uomini, i tassi standardizzati per età sono stimati rimanere stabili nel 2019 (7,9 per 100.000; 45.600 morti), mentre nelle donne è previsto un aumento dell’1,6% (5,6 per 100.000; 45.100 morti). È probabile che questo rispecchi i diversi andamenti di prevalenza del fumo, che è il maggior fattore di rischio noto per questo tumore. Inoltre, si è registrato un aumento delle persone in sovrappeso e del diabete, entrambe condizioni associate al tumore del pancreas, e i progressi terapeutici per questo tumore sono rallentati dalla mancanza di finanziamenti per le ricerche sulla prevenzione e sul trattamento di questa patologia. Questo anche perché, essendoci pochi lungo-sopravviventi, mancano pazienti che possano attirare attenzione e investimenti per questo tumore.

Figura 3. Morti per tumore evitate
Rispetto al picco di mortalità per tumore del 1988, sono stati evitati oltre 5 milioni di decessi per tumore in UE nei 31 anni fino al 2019. Di queste, 440.000 per il tumore della mammella. Solo nel 2019, si è previsto un totale di 360.000 morti evitate per tumore (237.000 negli uomini, e 122.000 nelle donne) (Figura 3). Gli andamenti di mortalità del tumore al polmone sono ormai favorevoli da molti anni negli uomini europei, ma meno che negli Stati Uniti. Oltre il 20% della popolazione europea adulta fa ancora uso di tabacco, mentre negli Stati Uniti è meno del 15%. Questo dato spinge ad adottare urgentemente interventi sul tabagismo nell’UE, negli uomini, ma soprattutto nelle donne, per le quali questo tumore rappresenta la principale causa di morte (per causa oncologica) con tassi di mortalità ancora in aumento.

