
Le smart city, o meglio, come fare diventare smart le nostre città, è ormai argomento all'ordine del giorno di tanti i progetti di innovazione e sviluppo, oltre che dell'agenda politica di molte amministrazioni.
Spesso, nella progettazione di servizi smart e nelle discussioni, anche pubbliche, al riguardo, l'enfasi viene posta soprattutto sull'importanza della raccolta dei dati – e in particolare di grandi masse di dati, al fine di potere basare le scelte di progetto il più possibile su dati reali – e sull'importanza delle comunicazioni, dove ovviamente Internet, ed in particolare l'Internet delle cose, gioca un ruolo fondamentale.
Un po' meno, di solito, si parla dello studio delle interazioni fra le varie parti (umani, cose, programmi, sistemi di comunicazione, ecc.), al fine di garantire che tali interazioni, per forza di cose necessarie in un sistema complesso come una smart city, concorrano alla produzione di servizi di alta qualità e non ne ostacolino la piena fruizione, per esempio con ritardi e malfunzionamenti per nulla estranei alla tecnologia digitale. Va sottolineato che si tratta di sistemi complessi, dove i servizi possono essere il risultato di comportamenti collettivi di agenti di varia natura; di sistemi con spiccate caratteristiche di adattabilità e dove, ad esempio, la qualità del servizio può essere il risultato di comportamenti emergenti. Pertanto, lo studio e la progettazione di questi sistemi devono essere essi stessi smart.
QUANTICOL è un progetto di ricerca iniziato l'anno scorso, finanziato dal programma FET-Proactive del Settimo Programma Quadro della Commissione Europea, sui Fondamenti dei Collective Adaptive Systems (CAS). Esso mira a sviluppare nuove tecniche di analisi quantitativa per la progettazione e la gestione operativa di una vasta gamma di sistemi adattativi collettivi, con particolare attenzione alle necessità del contesto delle smart cities.
Secondo una definizione ormai acquisita, e dovuta a Caragliu et al., “crediamo che una città si possa definire smart quando investimenti in capitale umano e sociale e in infrastrutture tradizionali (come i trasporti) e di comunicazione moderna (come l'ICT) forniscono la spinta per la crescita economica e l'alta qualità della vita, con una gestione saggia delle risorse naturali, attraverso una governance partecipativa”.
Anche se non è l'unico fattore di successo per le smart cities, lo sviluppo tecnologico basato sull'ICT è visto da molti come un fattore chiave. Al centro di molte proposte, che vanno da edifici e infrastrutture di trasporto smart, a sistemi smart di produzione e distribuzione dell'energia elettrica, è la trasformazione delle architetture ICT da sistemi a controllo centralizzato a infrastrutture molto più decentralizzate e distribuite. Il fatto stesso che tali sistemi siano fortemente distribuiti e il loro comportamento adattativo si basi sul feedback stretto e continuo tra un gran numero di consumatori e produttori, rende tali sistemi tipici esempi di sistemi adattativi collettivi su larga scala (CAS). Questi sistemi sono costituiti da un gran numero di entità eterogenee spazialmente distribuite con controllo decentralizzato e vari gradi di comportamento autonomo complesso.
Un'ulteriore caratteristica di questi sistemi è che spesso gli esseri umani sono sia agenti all'interno dei sistemi, sia utenti finali. Come utenti finali, essi possono essere completamente all'oscuro della sofisticata tecnologia necessaria per soddisfare obiettivi socio-tecnici di sistemi critici quali quelli per il trasporto efficiente, la comunicazione e il lavoro. La natura pervasiva ma trasparente dei CAS, insieme con l'importanza degli obiettivi che ci si pone, implicano la necessità di avere strumenti adeguati per un'analisi a priori, in fase di progettazione dei sistemi, e comunque prima della loro messa in funzione, per potere indagare a fondo su tutti gli aspetti del loro comportamento, compresi gli quelli quantitativi ed emergenti. Vogliamo in sostanza potere essere sufficientemente fiduciosi che, una volta operativi, questi sistemi possono non solo fornire buoni servizi "a regime'', ma siano anche in grado di adattarsi alle mutevoli esigenze, in modo autonomo e senza interruzioni operative.
La strategia adottata dal progetto QUANTICOL è quella della multidisciplinarietà
La letteratura in merito a metodi e piattaforme software di sviluppo di CAS, che siano adeguati e “scalabili”, è ancora scarsa e sono pochissimo sviluppati i linguaggi di modellazione e programmazione e le relative metodologie di progettazione e implementazione per i questi sistemi. Questo vale in particolare per la progettazione di sistemi che non godono di omogeneità spaziale, come è il caso di quelli in questione, per ovvi motivi. Per molti aspetti dei CAS mancano addirittura i fondamenti teorici sui quali sviluppare metodologie ingegneristiche innovative che siano in grado di trattare questi sistemi.
La vision a lungo termine di QUANTICOL è lo sviluppo di una piattaforma concettuale basata su metodi formali, matematici e logici, di supporto alla progettazione e all'analisi qualitativa e quantitativa di CAS per smart city, corredata anche da un sistema di software engineering adeguato e specializzato per tali sistemi.
La strategia adottata dal progetto è quella della multidisciplinarietà. QUANTICOL, infatti, riunisce due comunità di ricerca distinte: quella dei Metodi Formali dell'Informatica, con particolare riferimento alle algebre di processi stocastiche, alle logiche e alle relative tecniche di verifica; e quella della Matematica Applicata , con particolare riferimento alle tecniche di mean-field/fluid-flow approximation e control theory. I principali casi di studio che guidano l'attività di ricerca nel contesto di QUANTICOL sono due: il primo affronta problemi di scalabilità e pianificazione della capacità per sistemi di trasporto urbano smart, con particolare riferimento a sistemi di gestione di autobus e sistemi di bike sharing. Il secondo affronta invece i problemi di progettazione e modellazione di smart grid, nel campo dei sistemi di produzione e distribuzione di energia elettrica.
A un anno dal suo inizio, il progetto ha già dato dimostrazione della fattibilità degli approcci che si intendono seguire. Le tecniche di base, adottate in questa prima fase del progetto sono state applicate alla modellazione e all'analisi del sistema di trasporto pubblico nella città di Edimburgo, con un focus specifico sulla rete di autobus.
Gli autobus a Edimburgo sono completamente strumentati con rilevatori di posizionamento GPS, che trasmettono latitudine e longitudine a un server centrale ogni trenta secondi. Il server utilizza un modello predittivo per stimare i tempi di arrivo alle fermate degli autobus. Queste previsioni sono inoltrate agli utenti tramite segnaletica stradale, resi accessibili tramite un sito web, e disponibili anche per applicazioni per smartphone.
Utilizzando questi dati di localizzazione automatica dei veicoli della città, il progetto QUANTICOL è stato in grado di costruire modelli stocastici accurati del servizio di autobus di Edimburgo. Il primo passo è stato quello di trovare un modello stocastico appropriato che cogliesse la variabilità nel servizio a causa di ritardi che si verificano per ragioni operative, quali le condizioni del traffico, la salita e la discesa dei passeggeri, e la congestione stradale.
Le distribuzioni empiriche dei tempi di percorrenza sono state utilizzate come input per lo strumento HyperStar per eseguire innanzitutto il fitting di distribuzioni phase type (si tratta sostanzialmente di opportune composizioni di variabili casuali con distribuzione esponenziale) ai data sets, producendo quindi come risultato un processo stocastico phase type (Fig. 1)

Fig. 1 Fitting una distribuzione phase type con i dati empirici dei tempi di percorrenza
Quindi, attraverso software di analisi formale basata su logiche stocastiche, è stato possibile calcolare automaticamente misure quali la probabilità di completare un tragitto entro una data finestra di tolleranza per i tempi di arrivo e definire una tabella oraria ottimale realmente compatibile con i dati ottenuti dalle precedenti misure.
Va sottolineato come le misure di probabilità non siano il risultato di operazioni ad hoc ma ottenute tramite una specifica di requisiti fatta usando formule di logica matematica, favorendo, così, la possibilità di analisi rigorosa della consistenza stessa dei requisiti stessi e l'automazione del processo di valutazione.
Il sistema del bike-sharing
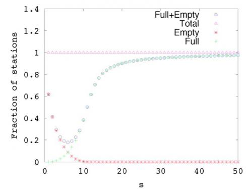
Un'altra applicazione dei risultati preliminari del progetto consiste nella modellazione, usando tecniche di approssimazione mean-field, dei comportamenti probabili di un sistema di bike-sharing e l'utilizzo combinato di sofisticate tecniche di model-checking per l'analisi di proprietà rilevanti di tali comportamenti. In particolare una domanda centrale per un sistema di bike sharing è quale sarebbe il numero di biciclette ottimale nel sistema in relazione al numero e alla capacità dei parking-slot, ad un dato tasso di richieste di bici per unità di tempo e per un dato tempo medio del loro uso. Un altro aspetto interessante da capire può essere l'effetto potenziale, positivo o negativo, di una strategia di incentivi per gli utenti e quindi capire se essa possa contribuire ad ottenere una distribuzione più equa delle bici nelle stazioni. Ovviamente, sarebbe opportuno capire i possibili effetti di una tale strategia prima di adottarla sul campo. A tal proposito, in Fig. 2 si osserva come varia il numero medio di stazioni problematiche (vuote o piene) al variare del numero medio (s x 1000) delle bici nel sistema, e sotto certe assunzioni sul loro uso. Si vede che si ottiene una situazione ottimale quando il numero medio delle bici per stazione e' circa la meta della capacità delle stazioni (10).
Fig. 2 Andamento del numero delle stazioni problematiche in assenza di incentivo
Introducendo una forma di incentivo che tende a dirottare gli utenti verso stazioni vicine alla meta, ma meno critiche di questa, si può osservare in Fig. 3 che, in media, e senza cambiare le assunzioni sull'uso, la situazione chiaramente migliora.
Quello che è importante mettere in evidenza è il fatto che l'approccio seguito consente di modificare i modelli e ripeterne le analisi con estrema semplicità e costo computazionale relativamente basso, il che li rende particolarmente utili per dare una prima risposta (approssimata) a domande del tipo "what if?".

Fig. 3: Andamento del numero delle stazioni problematiche con incentivo
Inoltre, queste tecniche sono largamente scalabili: sebbene il caso di studio in questione riguarda una città di dimensioni medio piccole, con 10 parking-slot e un totale di 500 biciclette, è possibile, praticamente senza alcuno sforzo, ripetere l'esperimento con numeri molto più alti, per esempio migliaia o milioni di biciclette e centinaia di parking-slot. Anzi, trattandosi di tecniche basate su convergenza al limite, in pratica, maggiore è la popolazione degli agenti (in questo caso biciclette, utenti e parking-slot), migliore è il risultato dell'approssimazione.
Il Progetto EU QUANTICOL è coordinato da Jane Hillston, Direttrice del Laboratory for Foundations of Computer Science della School of Informatics dell'Università di Edimburgo. I partner del progetto sono l'Università di Edimburgo, il Consiglio Nazionale delle Ricerche, l'IMT Advanced Studies Lucca, l'INRIA el'Università di Sounthampton.
